|
美仿生实验室研发轻型动力外骨骼 辅助截肢者轻松行走 能量消耗约降15.6%
作者:系统管理员
发布日期:2021-11-01
浏览次数:
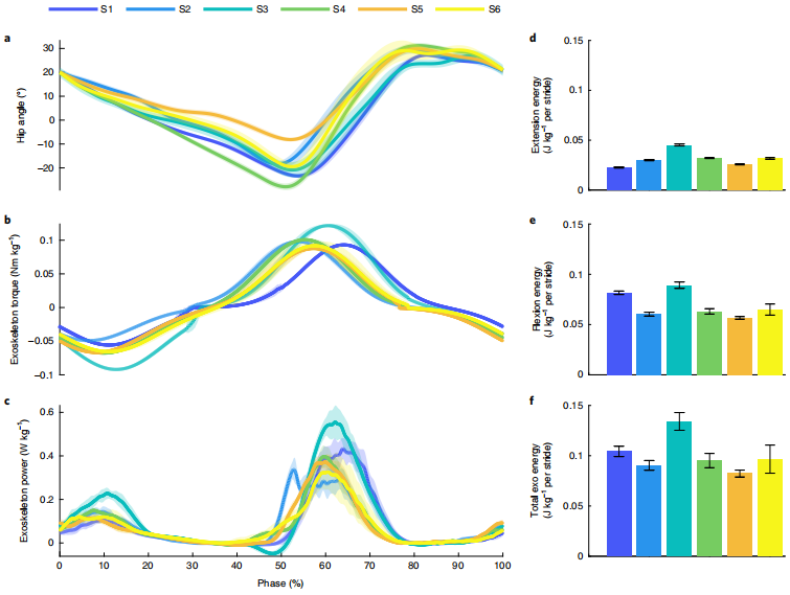
膝上截肢严重影响了数百万人的活动能力和生活质量,虽然市面上有一些腿部假肢能够辅助行走,但行走效率极低,步行经济性差、使人劳累,这是限制患者移动性的一个主要问题。 为了改善被截肢残疾人的行走难题,美国犹他大学仿生工程实验室的研究人员开发出了一套轻型动力外骨骼,该设备使用电机、微处理器和先进的算法来帮助下肢截肢者行走,就像电动自行车帮助骑手踩着踏板上坡一样。该研究小组的相关论文发表在《自然医学》杂志上。实验数据表明,借助动力髋外骨骼辅助装备是提高截肢者步行经济性的可行方案,能显著降低行走的代谢成本,对活动性产生相当积极的影响,未来可大幅提升膝上截肢患者的生活质量。 据悉,该设备具有独特的轻量级框架,由碳纤维材料制成,而其他部件由塑料复合材料和铝制成, 总体下来,这套外骨骼只有5.4磅重(约2.45㎏)。在跑步机试验中,每个参与者的步行代谢成本计算为总代谢能量消耗减去放松站立期间测量的代谢消耗,在6名参与者中,动力髋关节外骨骼使步行的代谢成本平均降低15.6±2.9%。 这种外骨骼可能在几年内就能问世。美国国防部提供了98.5万美元赠款资助了这项新的外骨骼技术的开发,以造福退伍军人,今年早些时候,他的实验室还从国家科学基金会获得了58.4万美元的赠款。
动力髋关节外骨骼和实验装置 图片来源:Nature Medicine
带和不带外骨骼行走的代谢成本比较 图片来源:Nature Medicine
外骨骼装备在跑步机上以1米/秒运动时的参数值 图片来源:Nature Medicine 论文链接: https://attheu.utah.edu/facultystaff/power-walk/ https://www.nature.com/articles/s41591-021-01515-2
文章来源:学术头条 |





